Ответы
Ответ дал:
0
1111111111111111111111
Приложения:

Ответ дал:
0
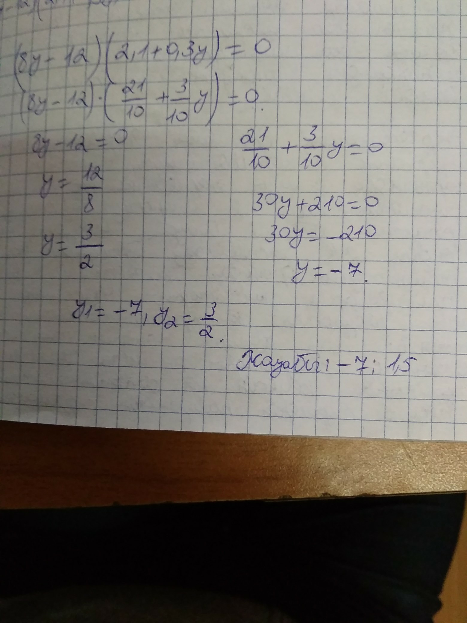
Раскрываем скобки, почленно умножая:
8y*2,1-12*2,1+8y*0,3y-12*0,3y=0
16,8у-25,2+2,4у^2-3,6у=0
2,4у^2+13,2у-25,2=0
D=174,24+241,92=416,16
х1=(-13,2-20,4)/2*2,4=7
х2=(-13,2+20,4)/4,8=1,5
Приложения:

Вас заинтересует
2 года назад
2 года назад
3 года назад
9 лет назад
9 лет назад