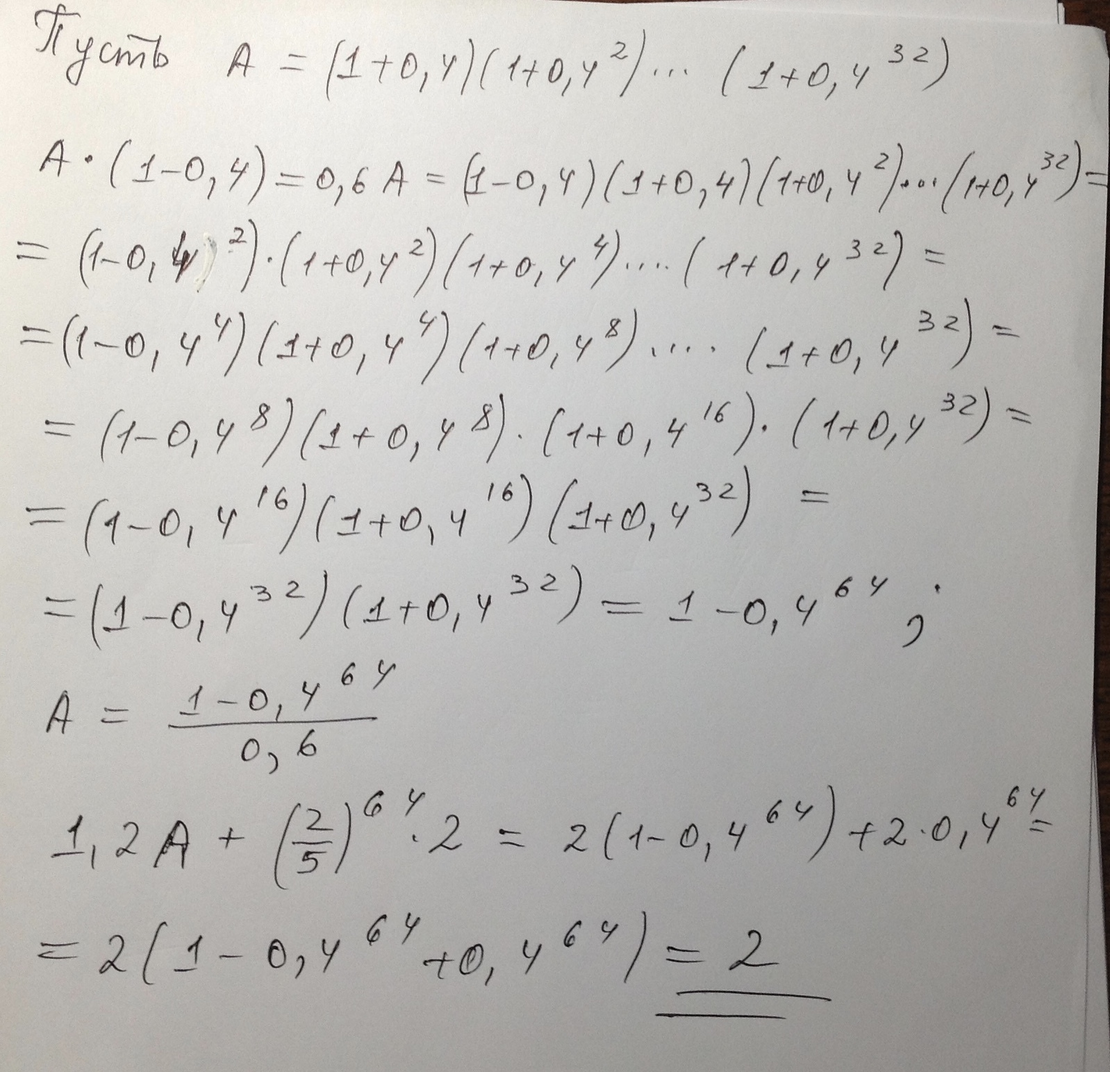
Подскажите пожалуйста, каким методом можно решить быстро и легко этот пример 1,2*(1+0,4)*(1+0,4^2)*(1+0,4^4)*(1+0,4^8)*...*(1+0,4^32)+2*(2,5^(-64))
Ответы
Ответ дал:
0
.................................................................................................
Приложения:

Ответ дал:
0
Спасибо, Вам, огромное, что помогли) сейчас буду вникать как вы решили)))
Ответ дал:
0
вы просто гений)
Вас заинтересует
2 года назад
2 года назад
3 года назад
9 лет назад
9 лет назад
9 лет назад