• Предмет: Алгебра
  • Автор: MarieMaid04
  • Вопрос задан 8 лет назад

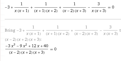
Найдите значение выражения: 1/x(x+1) + 1/(x+1)(x+2) + 1/(x-2)(x+3) - 3/x(x+3) - 3
8 класс! Помогите пожалуйста!!!

Ответы

Ответ дал: avjalkov
0

ну не знаю даже(дальше сокращать уже нельзя)

Приложения:
Ответ дал: anyutatitova1995
0
Да да, у меня тоже так получилось
Ответ дал: avjalkov
0
ты молодец(мне лень было промежуточные стадии писать)
Ответ дал: anyutatitova1995
0
))))
Ответ дал: anyutatitova1995
0

Вот так вот получилось

Приложения:
Вас заинтересует