• Предмет: Алгебра
  • Автор: alexandrolil
  • Вопрос задан 8 лет назад

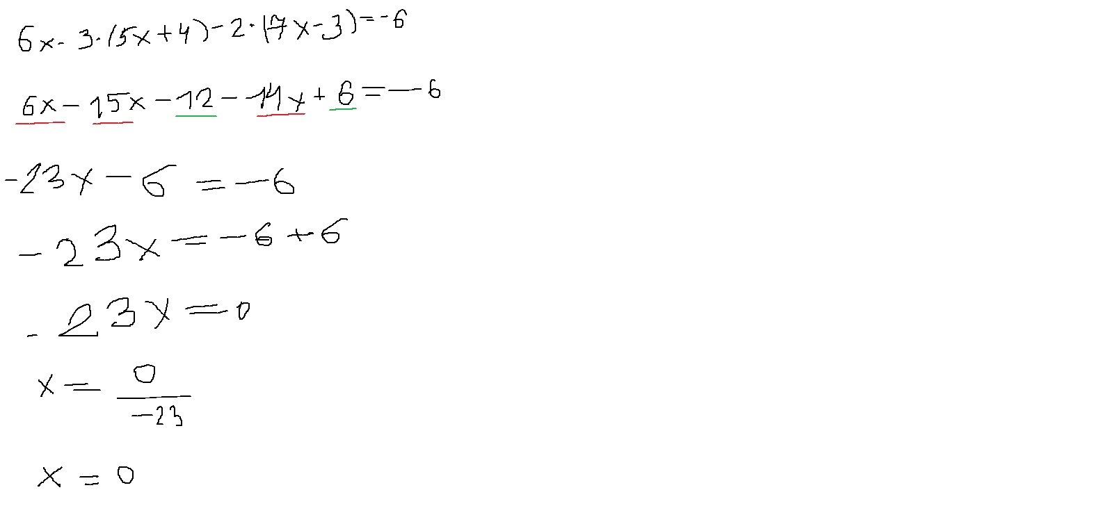
РЕШИТЕ УРАВНЕНИЕ 6x-3(5x+4)-2(7x-3)=-6

Ответы

Ответ дал: Misha001192
0

6x - 3(5x + 4) - 2(7x - 3) =  - 6 \ 6x - 15x - 12  - 14x + 6 =  - 6 \ 6x - 15x - 14x =  - 6 - 6 + 12 \  - 23x = 0 \ x = 0 \


ОТВЕТ: 0
Ответ дал: zhidelevairina13
0

Вот графическое решение примера

Приложения:
Вас заинтересует