Ответы
Ответ дал:
0
Ответ:
Приложения:

Ответ дал:
0
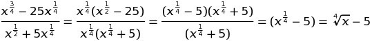
Извините, а как из x^3/4 получилось x^1/4(x^1/2...?
Ответ дал:
0
Ну а что тут пояснять? Вынесение множителя за скобки
Ответ дал:
0
x^(3/4)=x^(2/4+1/4)=x^(1/2+1/4)=x^(1/2)*x^(1/4)
Ответ дал:
0
Благодарю
Ответ дал:
0
если обратно открываете скобку то получите первый вид
Вас заинтересует
3 года назад
9 лет назад
9 лет назад