• Предмет: Алгебра
  • Автор: yaroshevsccayp6kayg
  • Вопрос задан 8 лет назад

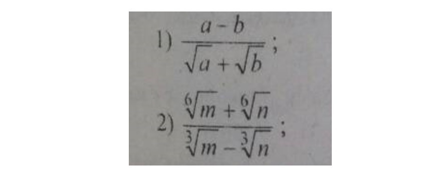
Сократить дробь пример №2

Приложения:

Ответы

Ответ дал: NeZeRAvix
0

dfrac{sqrt[6]{m}+sqrt[6]{n}}{sqrt[3]{m}-sqrt[3]{n}}=dfrac{sqrt[6]{m}+sqrt[6]{n}}{(sqrt[6]{m}-sqrt[6]{n})(sqrt[6]{m}+sqrt[6]{n})}=dfrac{1}{sqrt[6]{m}-sqrt[6]{n}}

Вас заинтересует