• Предмет: Математика
  • Автор: pusypenetrator
  • Вопрос задан 8 лет назад

Определите промежутки знакопостоянства

Приложения:

Ответы

Ответ дал: lakiviko
0

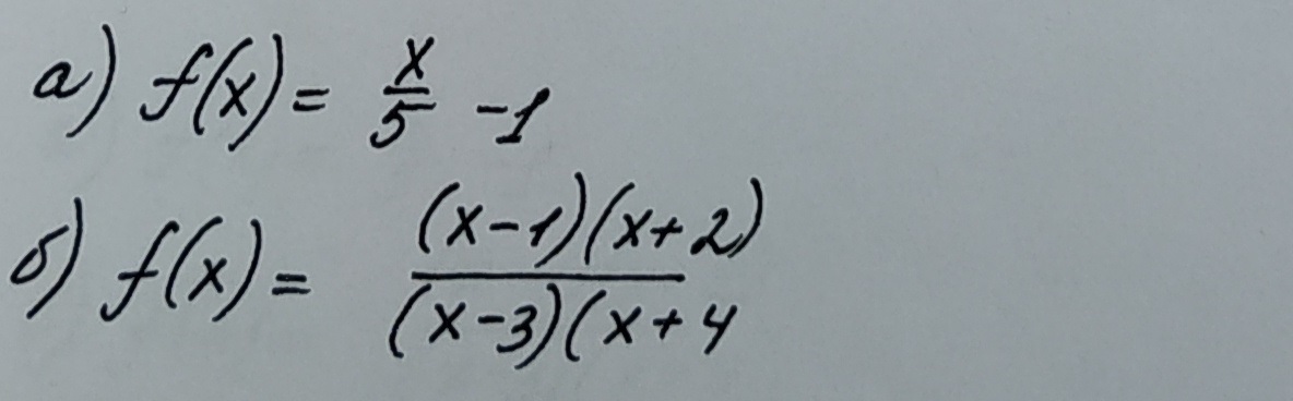
а) f(x) = x/5 - 1

x/5 - 1 = 0

x = 5

подставляем 0: 0/5 - 1 = -1

x ∈ (-∞; 5) f(x) знак -

x ∈ (5; ∞) f(x) знак +

x = {5} - нули функции

б) y = frac{(x - 1)(x + 2)}{(x - 3)(x + 4)} \x = 1; x = -2; x neq  3; x neq -4\

подставляем 0: frac{(0 - 1)(0 + 2)}{(0 - 3)(0 + 4)} = frac{- * +}{- * +} = +

x ∈ (-∞; -4) ∪ (-2; 1) ∪ (3; ∞) знак +

x ∈ (-4; -2) ∪ (1; 3) знак -

x = {-2; 1} - нули функции

Ответ дал: lakiviko
0
Как- то я разноперсто оформил)
Вас заинтересует