Вариант II
1. Что можно сказать о взаимном положении двух плоскостей, имеющих три общие точки, не лежащие на одной прямой?
2. Могут ли две различные плоскости иметь только две общие точки?
Прямые а и b пересекаются в точке М. Прямая с, не проходящая через точку М, пересекает прямые а и b. Лежат ли все эти три прямые в одной плоскости? Каково взаимное положение прямых: 1) A 1D и MN; 2) A 1D и В 1С; 3) MN и А 1В1(Рис. 1). Прямые а и b скрещиваются с прямой с. Могут ли прямые а и b быть параллельными? Две прямые параллельны одной и той же плоскости. Можно ли утверждать, что эти прямые параллельны между собой? Если нет, то каково их взаимное положение? На рисунке 2 прямые тип параллельны. Точки А и В соответственно принадлежат прямым тип; b лежит в плоскости α, а\ b. Каково взаимное положение прямых b и с? Даны четырехугольник ABCD и плоскость α. Его диагонали АС и BD параллельны плоскости α. Каково взаимное положение АВ и плоскости α? Плоскости α и β параллельны. Пересекающиеся в точке М прямые а и b пересекают плоскость α соответственно в точках В и А, а плоскость β - в точках Е и F Найдите отношение
10. Плоскость α проходит через диагональ основания параллелепипеда и середину одной из сторон верхнего основания. Определите вид сечения.
Ответы
Ответ дал:
0
1. Они совпадут
2. Могут, две плоскости имеют общие точки только тогда, когда они пересекаются плоскости и в пересечении образуется прямая, на прямой содержится бесчисленное множество точек ( из А3)
3. Лежат на основании 1 - ой аксиомы
4. А1Д пересекаются МN
А1Д параллельна B1C1
MN пересекает A1B1
5.а параллельно альфа
b параллельно альфа
a параллельно b???
решение: 1)a параллельно b, a скрещивающие с b
6.т.к прямая параллельна прямой принадлежащей плоскости и они не пересекаются
7. b параллельно c по теореме о трех параллельности прямых
8. аb параллельна альфа на основании второго следствия из аксиомы
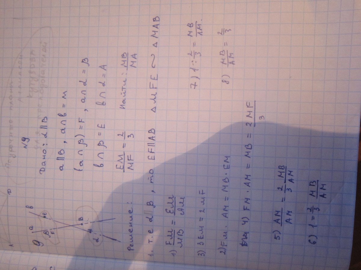
9.дано: на фото
10.увы не нашла
2. Могут, две плоскости имеют общие точки только тогда, когда они пересекаются плоскости и в пересечении образуется прямая, на прямой содержится бесчисленное множество точек ( из А3)
3. Лежат на основании 1 - ой аксиомы
4. А1Д пересекаются МN
А1Д параллельна B1C1
MN пересекает A1B1
5.а параллельно альфа
b параллельно альфа
a параллельно b???
решение: 1)a параллельно b, a скрещивающие с b
6.т.к прямая параллельна прямой принадлежащей плоскости и они не пересекаются
7. b параллельно c по теореме о трех параллельности прямых
8. аb параллельна альфа на основании второго следствия из аксиомы
9.дано: на фото
10.увы не нашла
Приложения:

Вас заинтересует
8 лет назад
8 лет назад
10 лет назад
10 лет назад
10 лет назад