• Предмет: Алгебра
  • Автор: JaroslavBorsh
  • Вопрос задан 8 лет назад

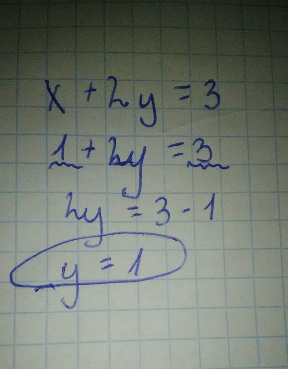
Пожалуйста помогите решыть уравнения x+2y=3

Ответы

Ответ дал: lena2508
0
вот ответ 1 ,вроде правильно ,но я праверила и получилось так же
Приложения:
Вас заинтересует