• Предмет: Физика
  • Автор: moreyellow
  • Вопрос задан 8 лет назад

Физика 8 класс


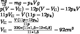
1) Полая пластмассовая игрушка общим обьемом 220 см3 при полном погружении в керосин весит в 12 раз меньше, чем в воздухе. Каков обьем полости внутри игрушки, если плотность пласстмассы, из которой она сделана, равна 1500 кг)м3? Плотность керосина равна 800кг)м3. Керосин внутрь не попадает.

2) С какой минимальной высоты должна падать вода, чтобы при ударе о землю она нагрелась на 10 градусов? Почему высота о которой идет речь в данной задаче, является минимальной? Удельная теплоемкость 4200Дж)кг умножить на грудус Цельсия.

Ответы

Ответ дал: Аноним
0

Полая пластмассовая игрушка общим объемом 220см3 приполном погружении в керосин весит в 12 раз меньше , чем в воздухе .каков объем полости внутри игрушки , если плотность пластмассы , из которой она сделана , равна 1500 кгм3 ? плотность керасина равна 800 кгм3 керосин внутрь не затекает

Потенциальная энергия:

Eп = m*g*H    (1)


Количество теплоты:

Q = c*m*Δt     (2)


Приравниваем (1) и (2) и сокращаем на m:

g*H = c*Δt


Н = с*Δt / g = 4200*10/10 = 4 200 м   или   более четырех километров!!!

Найти: Q=?

Решение:

Q= c*m*(t2-t1)

Q= c* p*v *( t2- t1)

Q= 90300 Дж = 90,3 кДж

Ответ: 90,3 кДж


Приложения:
Вас заинтересует