• Предмет: Математика
  • Автор: xlamkina
  • Вопрос задан 8 лет назад

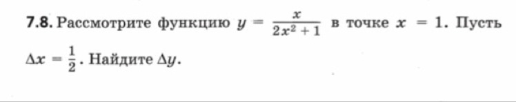
Помогите решить математика

Приложения:

Ответы

Ответ дал: ucheniy1
0
__1/2__
2•1/4+1


__1/2__
1/2+1


__1/2__
3/2 =1/3


Вас заинтересует