Помогите решить уголком
Установить при каком значении a многочлен P(x) делится на многочлен Q(x) , если:
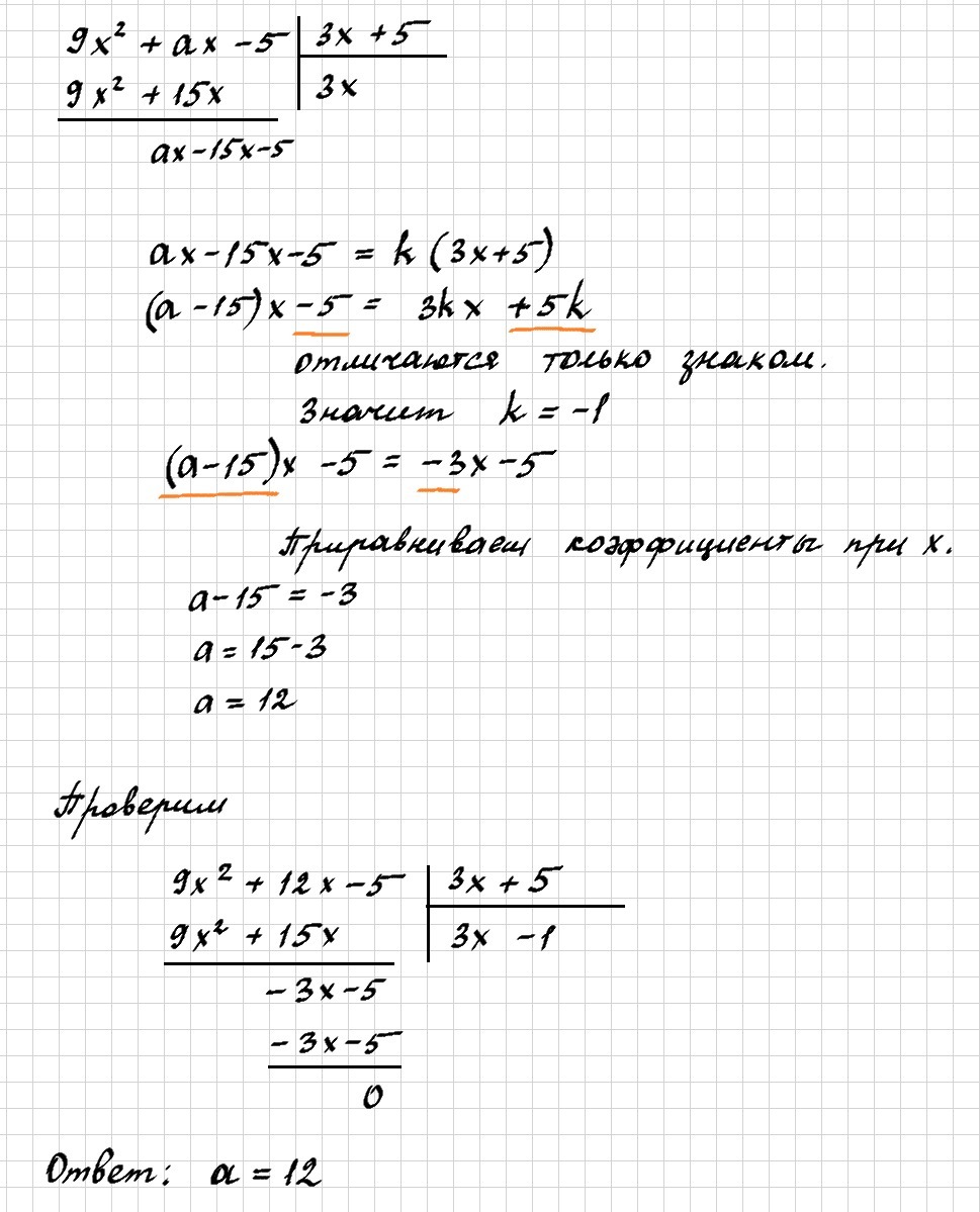
P(x)=9x^2+ax-5 Q(x)=3x+5
Ответы
Ответ дал:
0
9x² + ax - 5 ║ 3x + 5
- _________
9x² + 15x ║ 3x
_________
ax-15x-5
ax - 15x - 5 = x(a-15) - 5
Приравнивая коэффициенты при степени х
a - 15 = - 3
a = 12
Ответ: при а=12 многочлен P(x) делится на многочлен Q(x)
Ответ дал:
0
Там точно-12 , не просто 12
Ответ дал:
0
Решение в прикрепленном файле.
Приложения:

Ответ дал:
0
Так там вроде —12 нет?
Ответ дал:
0
Нет, ошибся... Ответ 12
Ответ дал:
0
9x^2 + 12x - 5 = 9x^2 + 15x - 3x - 5 = 3x(3x+5) - (3x+5) как раз делится на 3х+5
Вас заинтересует
2 года назад
3 года назад
9 лет назад
9 лет назад
9 лет назад