• Предмет: Алгебра
  • Автор: zoomer335
  • Вопрос задан 8 лет назад

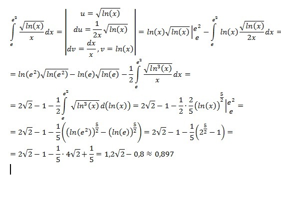
Как вычислить этот определенный интеграл ?

Приложения:

Ответы

Ответ дал: annyks
0

Решается интегрированием по частям

Приложения:
Вас заинтересует