Ответы
Ответ дал:
0
I hope this helps you
Приложения:

Ответ дал:
0
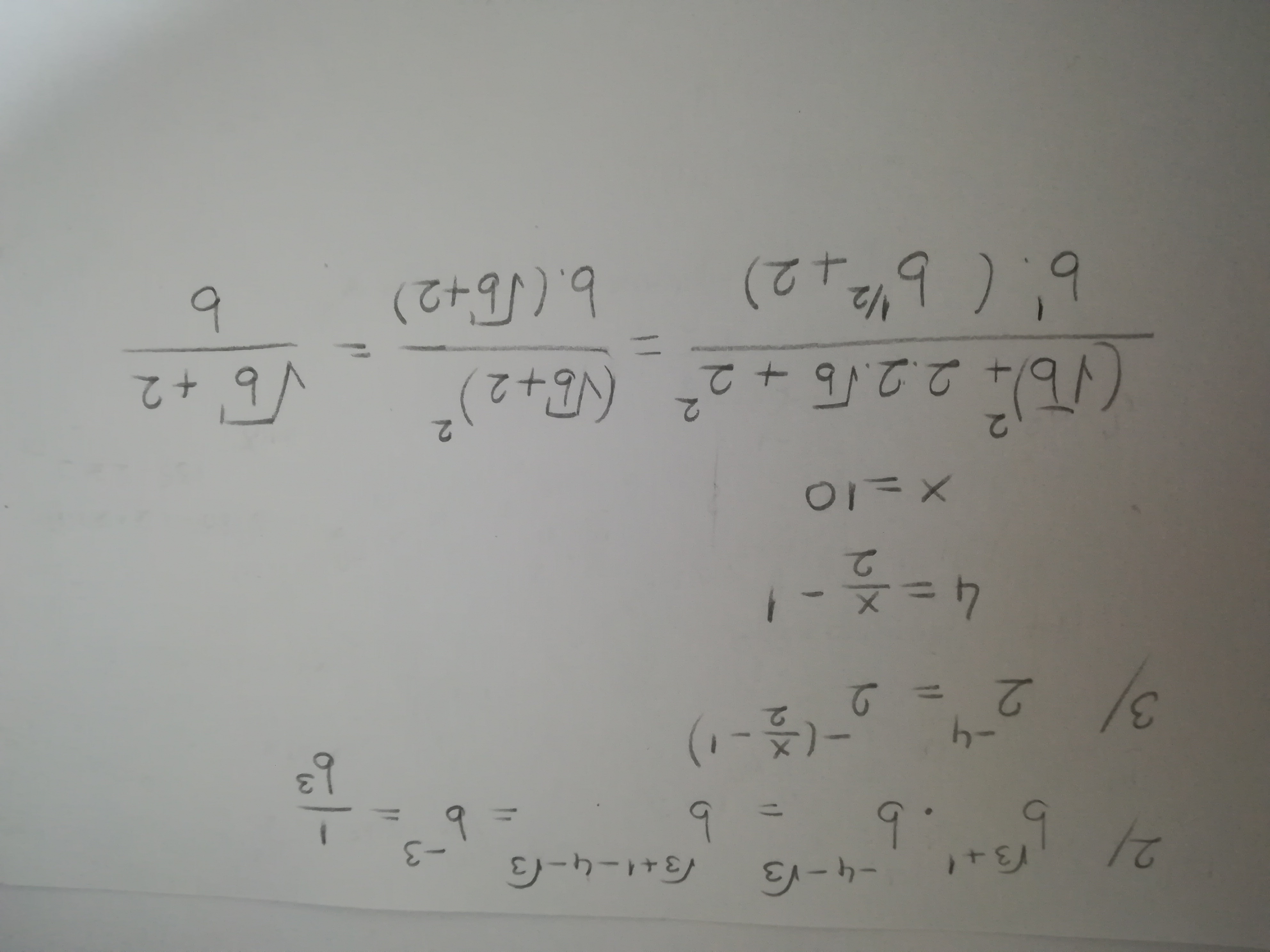
2. b^(/3+1)×1/b^(4+/3)=1/b³
(Пояснение : при делении степеней с одинаковым основанием показатели степеней вычитаются)
3. Поскольку основания степеней равны, то и показатели степеней должны быть равны
x/2 - 1 = 4
Умножаем все члены на 2
x-2=8 или x=10
5. Обращаем внимание, что в числителе имеем квадрат суммы двух чисел
(/b +2) ²
В знаменателе вынесем b за скобки
b(/b+2)
После сокращения получим
(/b+2) /b
Приложения:

Вас заинтересует
2 года назад
2 года назад
3 года назад
9 лет назад
9 лет назад