• Предмет: Математика
  • Автор: svetlana696
  • Вопрос задан 8 лет назад

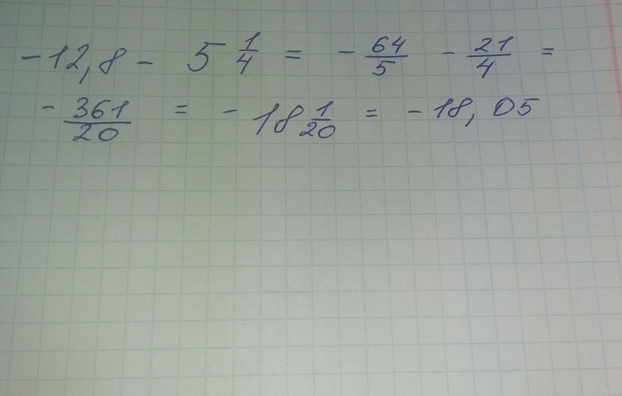
сколько будет -12,8-5 целых 1/4

Ответы

Ответ дал: сабинаааа
0
......................
Приложения:
Вас заинтересует