Ответы
Ответ дал:
0
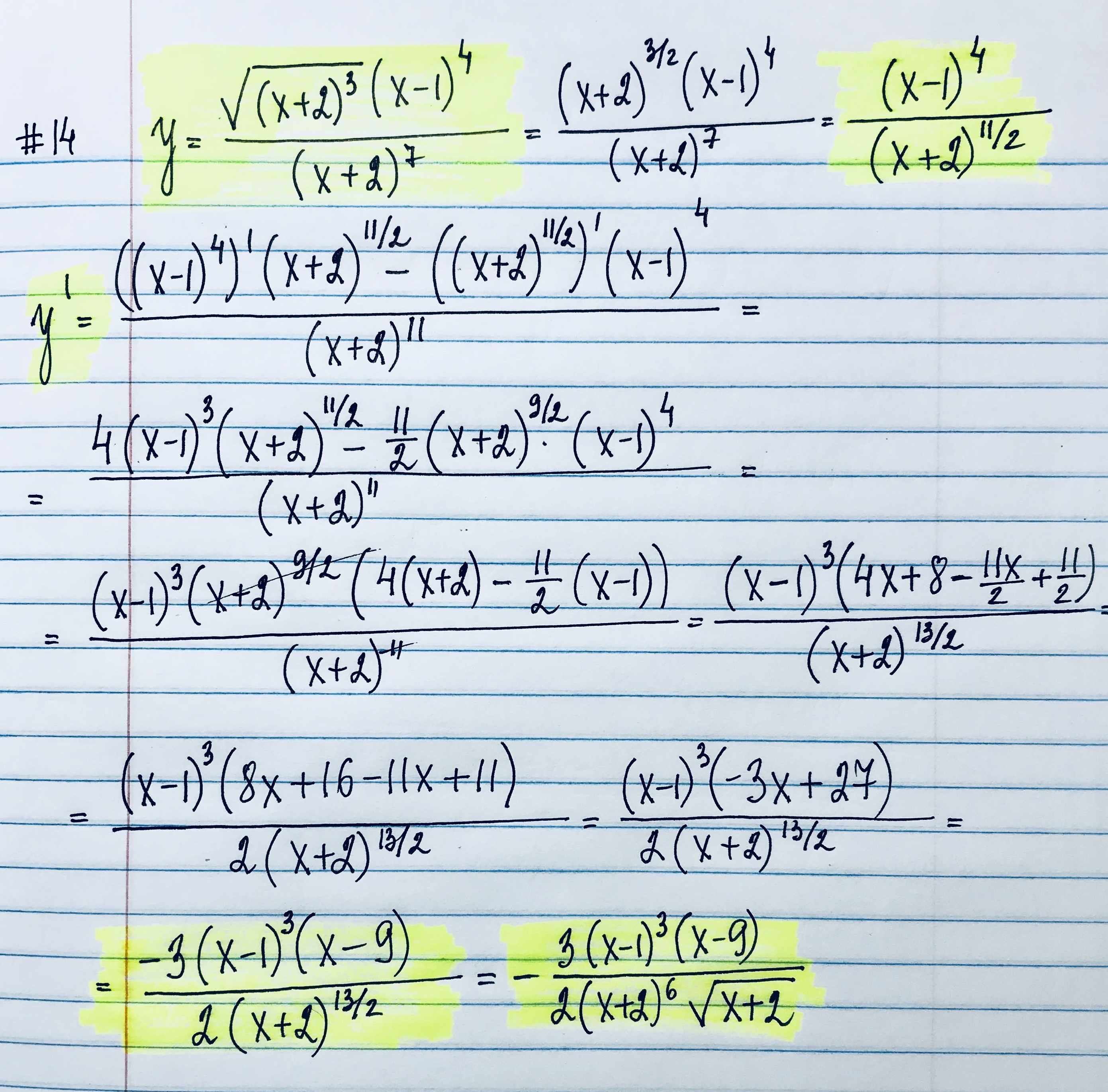
Ловите все три. Удачи вам!
Приложения:



Ответ дал:
0
Спасибо огромное, и вам удачи!
Вас заинтересует
2 года назад
3 года назад
3 года назад
9 лет назад
9 лет назад