Ответы
Ответ дал:
0
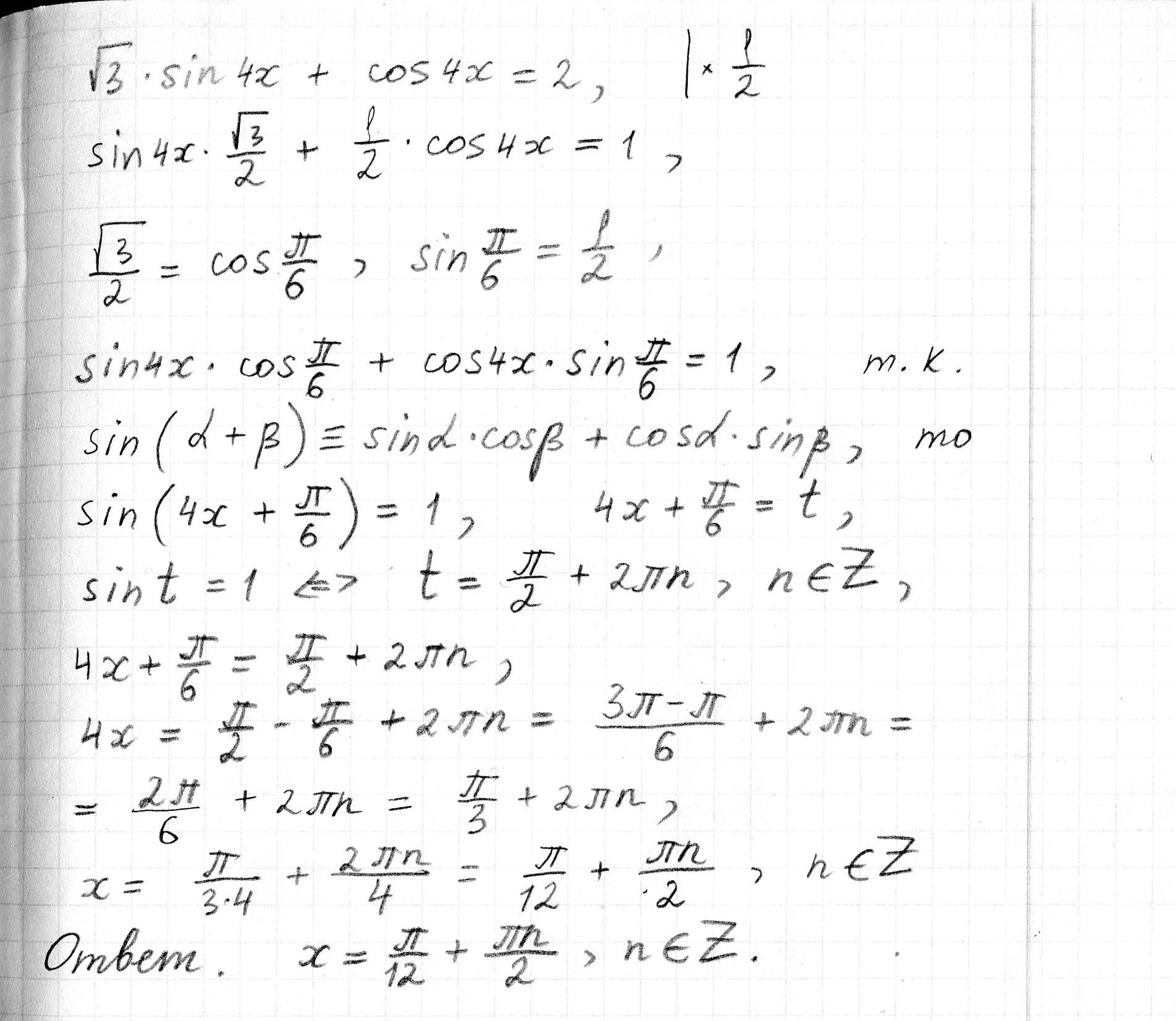
я написал решение на листочке ===>>
Приложения:

Вас заинтересует
3 года назад
9 лет назад
9 лет назад