• Предмет: Математика
  • Автор: dimoooon36
  • Вопрос задан 8 лет назад

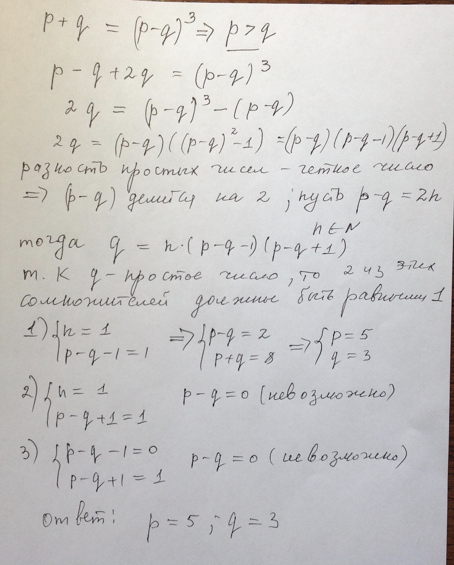
Найдите все простые числа p и q такие, что p + q = (p – q)³. 
это ни кто не решит наверное

Ответы

Ответ дал: antonovm
0

.................................................................................................

Приложения:
Вас заинтересует