• Предмет: Алгебра
  • Автор: rox1
  • Вопрос задан 8 лет назад

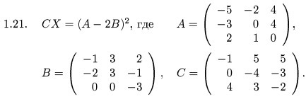
Найти матрицу Х из уравнения.

Приложения:

Ответы

Ответ дал: Алкадиеныч
0

Решение на фотографии

Ну там с вычислениями могут быть проблемы, поэтому советую перепроверить)

Приложения:
Ответ дал: Аноним
0
Значит он неправильно посчитал)
Ответ дал: rox1
0
Пометил как неверное решение, а другой модератор лишь отметил полностью верным решение.. ¯_(ツ)_/¯
Ответ дал: Аноним
0
А кто пометил?
Ответ дал: rox1
0
"20:32 Ответ Алкадиеныч был принят hote"
Ответ дал: Аноним
0
Ну напишите ей в ЛС :)
Вас заинтересует