• Предмет: Алгебра
  • Автор: sypkoniki
  • Вопрос задан 8 лет назад

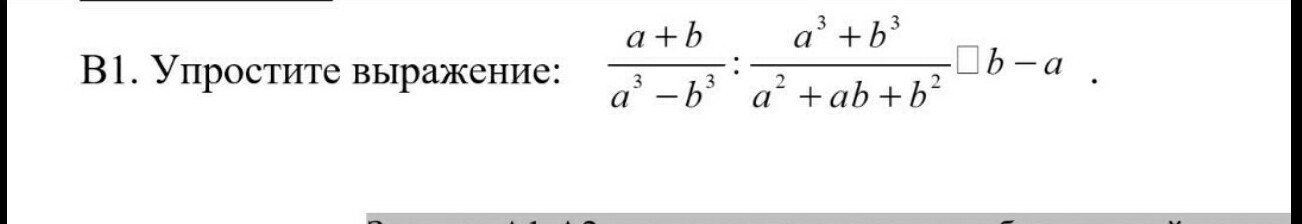
помогите решить самостоятельную

Приложения:

Ответы

Ответ дал: AntVa
0

не понятен знак в конце какой-то квадратик вместо знака.

frac{a+b}{(a-b)(a^2+ab+b^2)}*frac{a^2+ab+b^2}{(a+b)(a^2-ab+b^2)}*(b-a)=\frac{1}{a-b}*frac{1}{a^2-ab+b^2}*-(a-b)=frac{-1}{a^2-ab+b^2}

Ответ дал: sypkoniki
0
умножить
Ответ дал: AntVa
0
ну я решил как будто там * (b-a)
Ответ дал: sypkoniki
0
все правильно, спасибо тебе
Вас заинтересует