• Предмет: Математика
  • Автор: xedi9
  • Вопрос задан 8 лет назад

Помогите пожалуйста. Срочно

Приложения:

Ответы

Ответ дал: mmb1
0

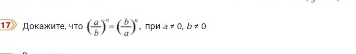
(a^n)^m = a^(nm)

a^(-1) = 1/a

(a/b)^(-n) = (a^1 * b^-1) ^ -n = a^-n*b^n = (a^-1*b^1)^n = (b/a)^n

Ответ дал: xedi9
0
спасибо большое
Вас заинтересует