Ответы
Ответ дал:
0
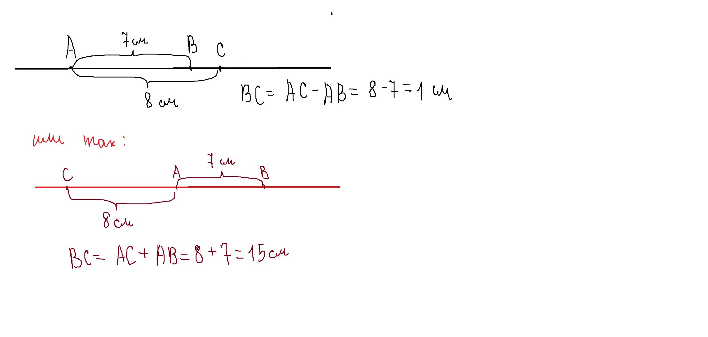
АС -АВ=ВС
8-7=1 см
мне кажется так правильно, это скорее всего один из вариантов решения
8-7=1 см
мне кажется так правильно, это скорее всего один из вариантов решения
Ответ дал:
0
решения смотри внизу
Приложения:

Вас заинтересует
2 года назад
3 года назад
3 года назад
9 лет назад
9 лет назад
9 лет назад