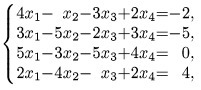
Записать систему в матричной форме, решить её методом Крамера, считая определитель системы △ приведением к треугольному виду, определители △1, △2, △3 — получив предварительно нули соответственно в 1, 2, 3 строке, △4 — разложив его по 4 столбцу. Сделать проверку решения.
Приложения:

Ответы
Ответ дал:
0
Решение на фотографии
Проверку сделаете сами:)
Приложения:


Вас заинтересует
2 года назад
3 года назад
3 года назад
9 лет назад
9 лет назад
9 лет назад