• Предмет: Алгебра
  • Автор: anastasia2489
  • Вопрос задан 8 лет назад

помогите сокращение дробей с квадратным корнем пожалуйста

Приложения:

Ответы

Ответ дал: Zcnayper
0

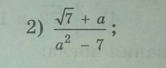
√7 +a/(a-√7)*(a+√7)=   1/a-√7

Вас заинтересует