• Предмет: Математика
  • Автор: PomogiSolnce
  • Вопрос задан 8 лет назад

Здравствуйте,лапушки.Помогите с тригометрическими уравнениями.Объясните как решать:

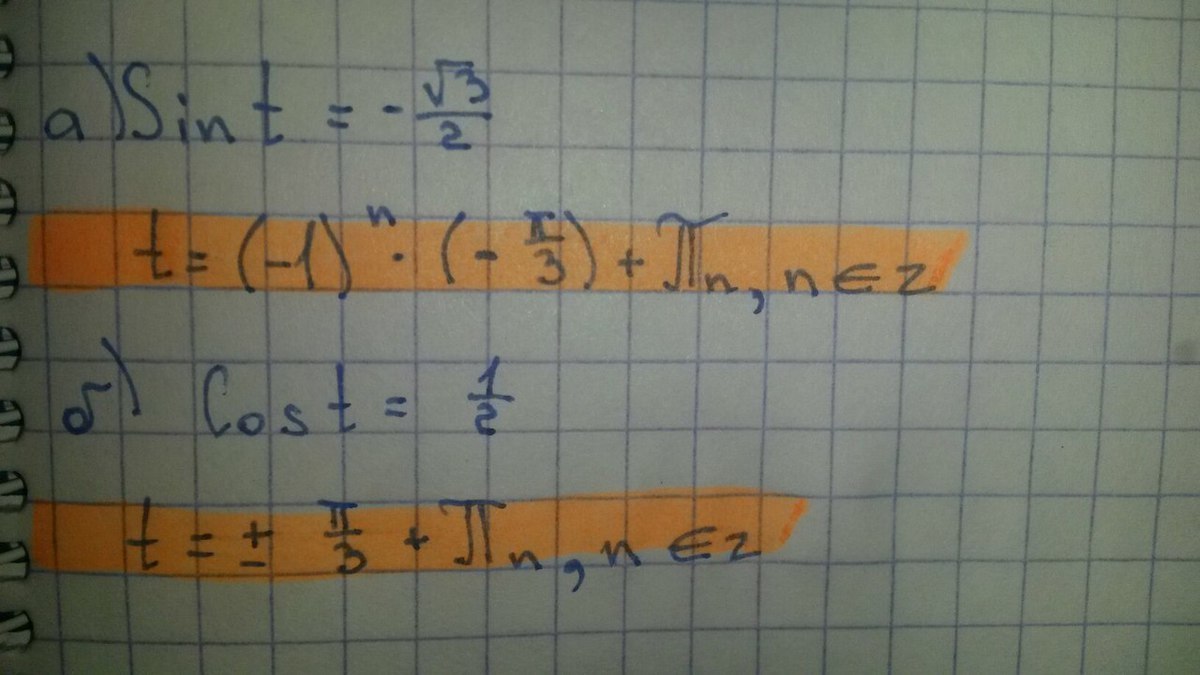
а)•sin t=-√3/2;

б)•cos t=1/2.

Ответы

Ответ дал: sashapomazanov
0

Попробуй как нибудь так)

Приложения:
Вас заинтересует