Помогите решить порядком действий.
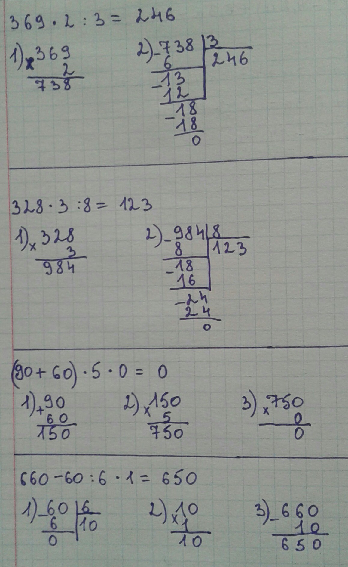
369 * 2 : 3 =
328 * 3 : 8 =
(90+60) * 5 * 0 =
660 - 60 : 6 * 1 =
За ранее спасибо.
Ответы
Ответ дал:
0
Решение на фотографии
Желаю тебе Удачи :) :)
Желаю тебе Удачи :) :)
Приложения:

Вас заинтересует
2 года назад
2 года назад
3 года назад
3 года назад
9 лет назад
9 лет назад
9 лет назад