• Предмет: Математика
  • Автор: kislova21
  • Вопрос задан 8 лет назад

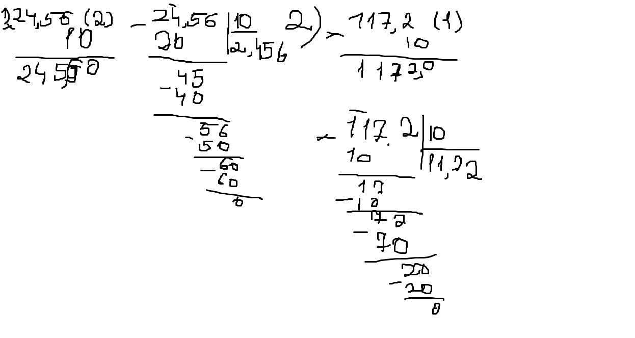
24,56*10=
24,56 : 10=
117,2*10=
117,2:10=
51,3*10=
51,3 :10=
8,24*10=
8,24:10=

Ответы

Ответ дал: Maxim46284
0

245,6

2,456

1172

11,72

513

5,13

82,4

0,824


Ответ дал: Thunser
0

24,56*10=245,6

24,56/10=2,456

117,2*10=1172

117,2/10=11,72

51,3*10=513

51,3/10=5,13

8,24*10=82,4

8,24/10=0,824


остальные также

Приложения:
Ответ дал: kislova21
0
мне бы в столбик
Ответ дал: Thunser
0
там можно и в уме
Ответ дал: Thunser
0
лан ша в толбик напишу
Ответ дал: kislova21
0
спасибо
Вас заинтересует