Ответы
Ответ дал:
0
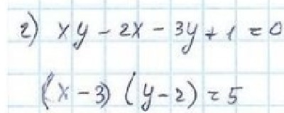
5 можно отнять и прибавить одновременно, ту которая с минусом перенести в правую часть. Оставшееся сгруппировать, вынести общее за скобки, снова общее за скобки и готово
Приложения:

Вас заинтересует
2 года назад
3 года назад
3 года назад
9 лет назад
9 лет назад
9 лет назад
9 лет назад