объясните пожалуйста как сокращать дроби с корнями( болею, а дома ничего не поняла) пример(смотрите фото) напишите как можно подробнее
Приложения:

Ответы
Ответ дал:
0
!!!!!!!!!!!!!!!!!!!!!!
Приложения:

Ответ дал:
0
А откуда в третьем действии 1+6 образовалось?
Ответ дал:
0
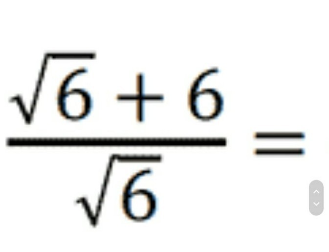
Для начала напишу, что квадрат любого корня = числу под этим корнем, т.е
(√6)² = 6 , (√8)² = 8 и т.д
Перейдём к дроби, изображённой в примере.
В дробях можно сокращать только при действии умножения или целыми скобками. Здесь в числителе у нас сложение, сделаем его в виде скобок :
√6 + 6 / √6 = √6(1 + √6) / √6
Теперь мы можем сократить √6 за скобкой и √6 в знаменателе :
√6(1+√6) / √6 = 1 + √6
Приложения:

Ответ дал:
0
А откуда 1+6 подскажи пожалуйста
Ответ дал:
0
Мы сократили √6 в числителе и знаменателе, осталось только выражение 1 + √6 , которое у нас было в скобках
Ответ дал:
0
Я имею ввиду почему в скобке ( место корень из 6 в квадрате у нас 1+корень из6
Ответ дал:
0
Потому, что √6 был вынесен за скобку
Ответ дал:
0
Спасибо
Вас заинтересует
2 года назад
2 года назад
3 года назад
3 года назад
9 лет назад
9 лет назад
9 лет назад