Ответы
Ответ дал:
0
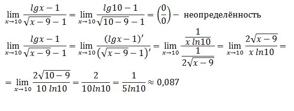
Изменила решение. Неопределённость действительно "не ушла". В данном случае лучше применить правило Лопиталя
Приложения:

Ответ дал:
0
исправила
Ответ дал:
0
Я в таких почти всегда правилом Лопиталя пользуюсь)
Ответ дал:
0
прошу извинить за невнимательность
Ответ дал:
0
)) Бывает))
Ответ дал:
0
Спасибо большое за помощь)
Вас заинтересует
2 года назад
2 года назад
3 года назад
3 года назад
9 лет назад
9 лет назад
9 лет назад
9 лет назад