• Предмет: Математика
  • Автор: tytyp001
  • Вопрос задан 8 лет назад

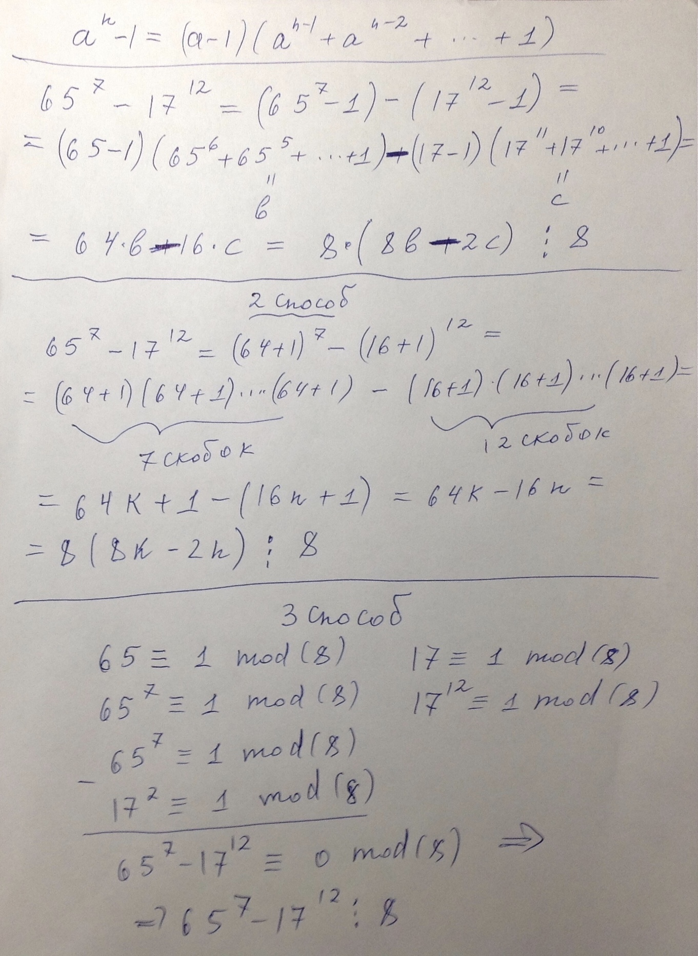
Выяснить, делится ли число 65^7-17^12 на 8

Ответы

Ответ дал: egrig
0

65^7= 4 902 227 890 625

17^12=582 622 237 229 761

4 902 227 890 625- 582 622 237 229 761= −577 720 009 339 136

−577 720 009 339 136/8= - 72 215 001 167 392

Ответ:делится

Ответ дал: antonovm
0

.................................................................

Приложения:
Ответ дал: antonovm
0
поясняю 2 способ : если раскрыть скобки в (64+1)^7 , то в каждом слагаемом одним из сомножителей будет число 64 , кроме последнего , которое равно 1 , третий способ основан на сравнение чисел по модулю 8 , не во всех школах это проходят , если не понятно , игнорируйте
Ответ дал: tytyp001
0
спасибо :)
Вас заинтересует