• Предмет: Алгебра
  • Автор: vadik46
  • Вопрос задан 8 лет назад

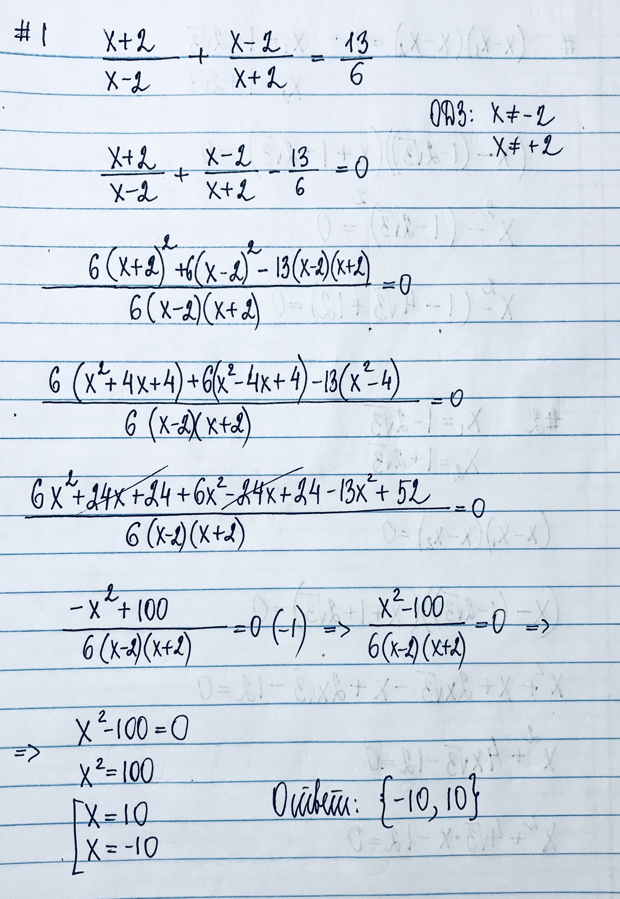
решите задания...........

Приложения:

Ответы

Ответ дал: ivanspraguepaar7t
0

Ловите решение всех трёх. Удачи!

Приложения:
Вас заинтересует