• Предмет: Алгебра
  • Автор: winxclub123
  • Вопрос задан 8 лет назад

помогите с пределом пожалуйста

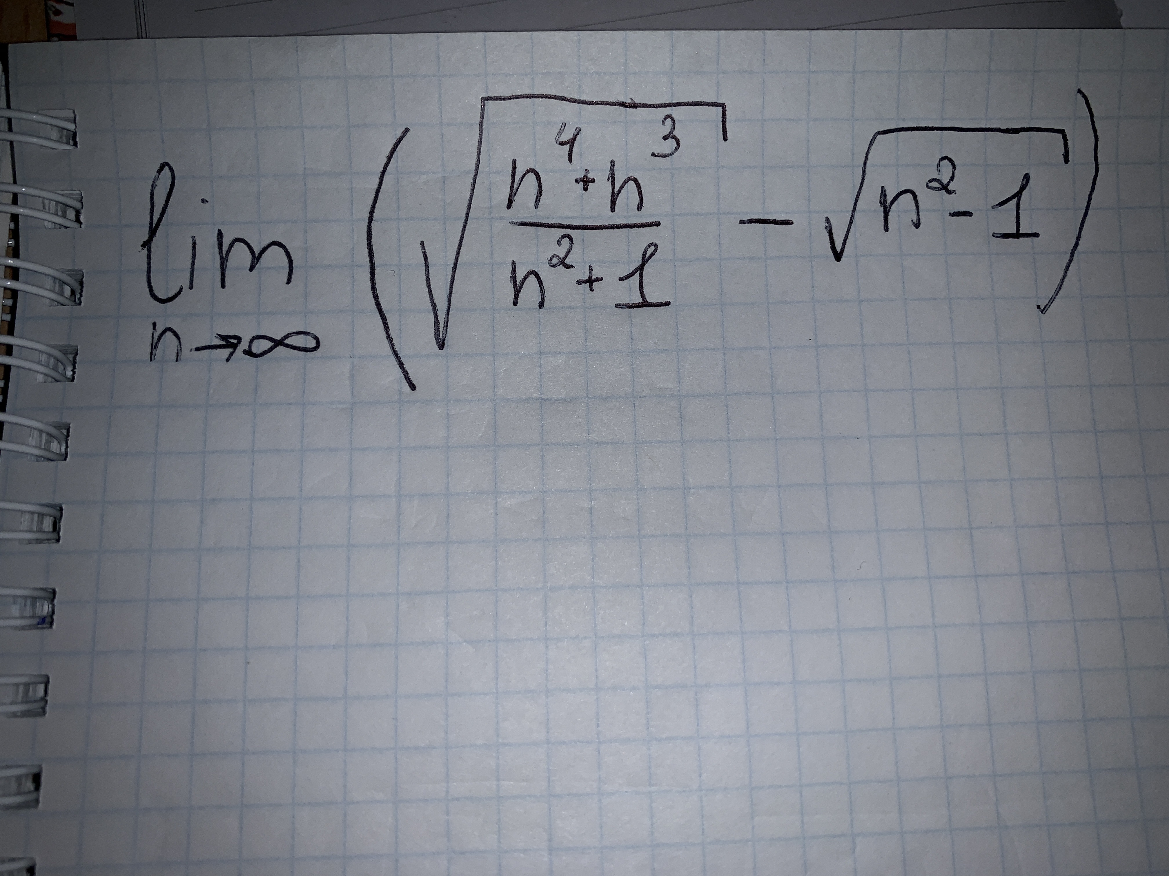
Приложения:

Ответы

Ответ дал: NNNLLL54
0

limlimits _{n to infty}(sqrt{frac{n^4+n^3}{n^2+1}}-sqrt {n^2-1})=limlimits _{n to infty}frac{sqrt{n^4+n^3}-sqrt{(n^2-1)(n^2+1)}}{sqrt{n^2+1}}=\\=limlimits _{n to infty}frac{sqrt{n^3(n+1)}-sqrt{(n+1)(n-1)(n^2+1)}}{sqrt{n^2+1}}=\\=limlimits _{n to infty}frac{sqrt{n+1}cdot (sqrt{n^3}-sqrt{(n-1)(n^2+1)})}{sqrt{n^2+1}}=

=limlimits _{n to infty}frac{sqrt{n+1}cdot (n^3-(n-1)(n^2+1))}{sqrt{n^2+1}cdot (sqrt{n^3}+sqrt{(n-1)(n^2+1)}}=limlimits _{n to infty}frac{sqrt{n+1}cdot (n^2-n+1)}{sqrt{n^2+1}cdot (sqrt{n^3}+sqrt{n^3+n-n^2-1})}=\\=limlimits _{n to infty}frac{sqrt{n}cdot n^2}{sqrt{n^2}cdot 2sqrt{n^3}}=limlimits _{n to infty}frac{n^{5/2}}{2n^{5/2}}=frac{1}{2}

Вас заинтересует