Ответы
Ответ дал:
0
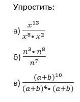
При умножении степени складываются, а при делении вычитаются
Приложения:

Ответ дал:
0
x¹³⁻⁸⁻²=x³
n(³⁺⁸⁻⁷)=n⁴
(a+b)¹⁰⁻⁵=(a+b)⁵
Приложения:

Вас заинтересует
2 года назад
2 года назад
3 года назад
3 года назад
9 лет назад
9 лет назад
9 лет назад
9 лет назад