• Предмет: Алгебра
  • Автор: gdfdghddgh
  • Вопрос задан 8 лет назад

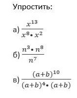
Помогите пожалуйста! срочно!

Приложения:

Ответы

Ответ дал: lefty2k
0
б) n^3 x n^8 / n^7 = n^3+8-7 = n^4
Ответ дал: gdfdghddgh
0
А остальное?)
Вас заинтересует