Ответы
Ответ дал:
0
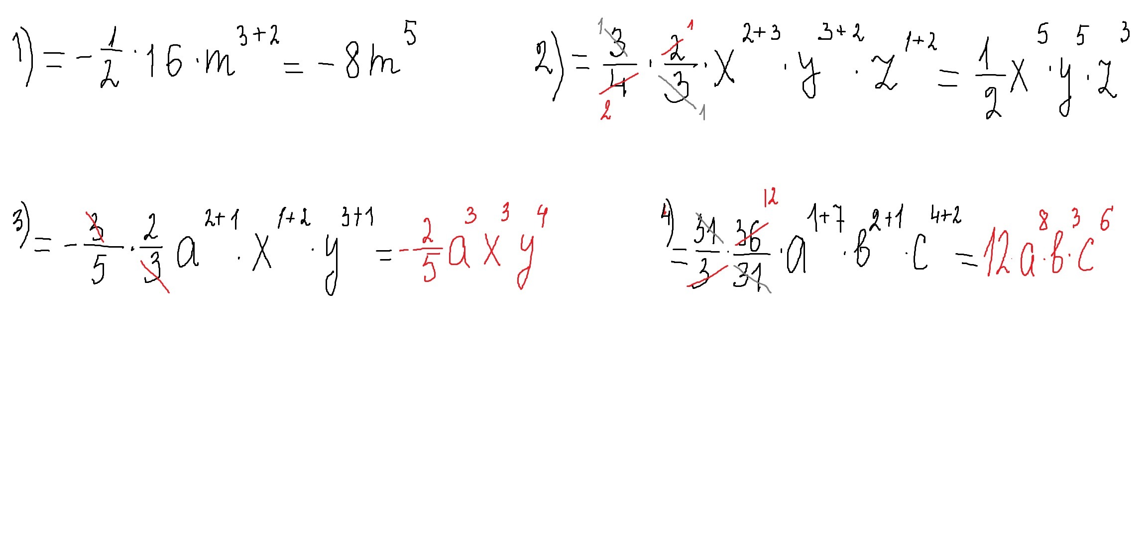
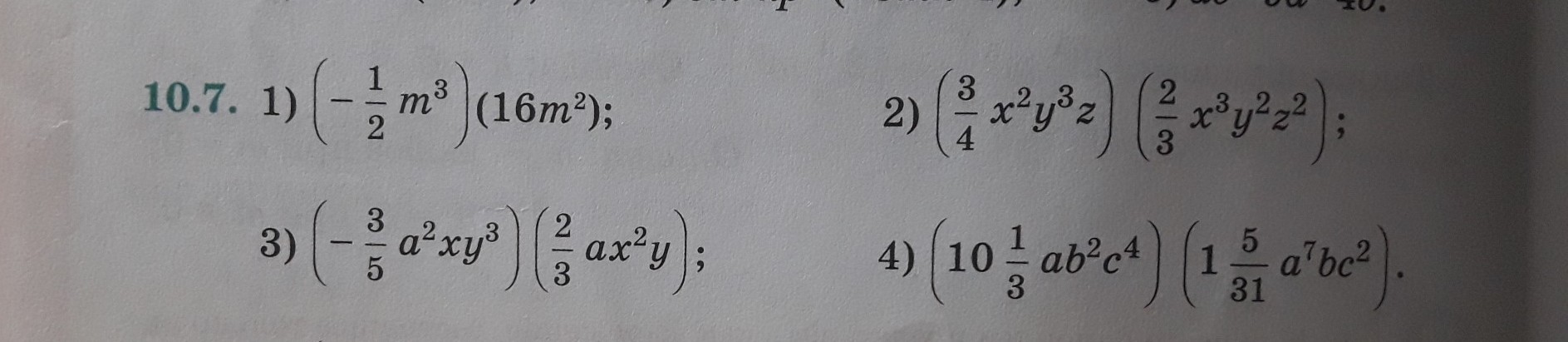
при умножении степеней с одинаковыми основаниями показатели складываются.решение смотри внизу
Приложения:

Вас заинтересует
2 года назад
2 года назад
3 года назад
3 года назад
9 лет назад
9 лет назад