• Предмет: Алгебра
  • Автор: fly1522
  • Вопрос задан 8 лет назад

Решите пожалуйста
Очень срочно!!!!

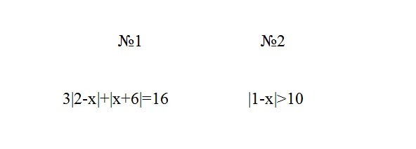
Приложения:

Ответы

Ответ дал: d60k60
0

2)  х меньше 1 ,  1-х больше 10   ,   -х больше 9 , х меньше -9

х больше 1 , х-1 больше 10 , х больше 9

ответ : Х больше 9 или Х меньше-9.

1) х меньше -6, 6-3х-х-6=16-4х=16


х=-4 ,не совпадает с областью.


х между -6 и 2   6-3х+х+6=16   -2х=4   х=-2, это годится.


х больше 2    -6+3х+х+6=16   4х=16   х=4  из данной области. значит два решения х=-2 и х=4


ответ : х=-2 , х=4


Вас заинтересует