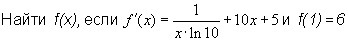
За 5 задач этих (мне нужен только ответ правильный) дам 25 баллов. Помогите пожалуйста, математики.
Приложения:





Ответы
Ответ дал:
0
1) 27
2)
3)
4)
5)
Ответ дал:
0
Бро я еще 5 задачек закинул, если ты их щелкаешь как семечки, выручи плиз) Завтра математичке за тебя респект кину!)
Вас заинтересует
2 года назад
2 года назад
3 года назад
9 лет назад
9 лет назад
9 лет назад