• Предмет: Алгебра
  • Автор: dinakatya200420
  • Вопрос задан 8 лет назад

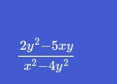
Помогите пожалуйста. Нужно упростить выражение.

Приложения:

Ответы

Ответ дал: kirillkryukov2005
0

2y^{2} -5xy/x^{2} -4y^{2} =-2y^{2} -5xy-4y^{2}=-frac{2xy^{2}+5y  }{x}

Вас заинтересует