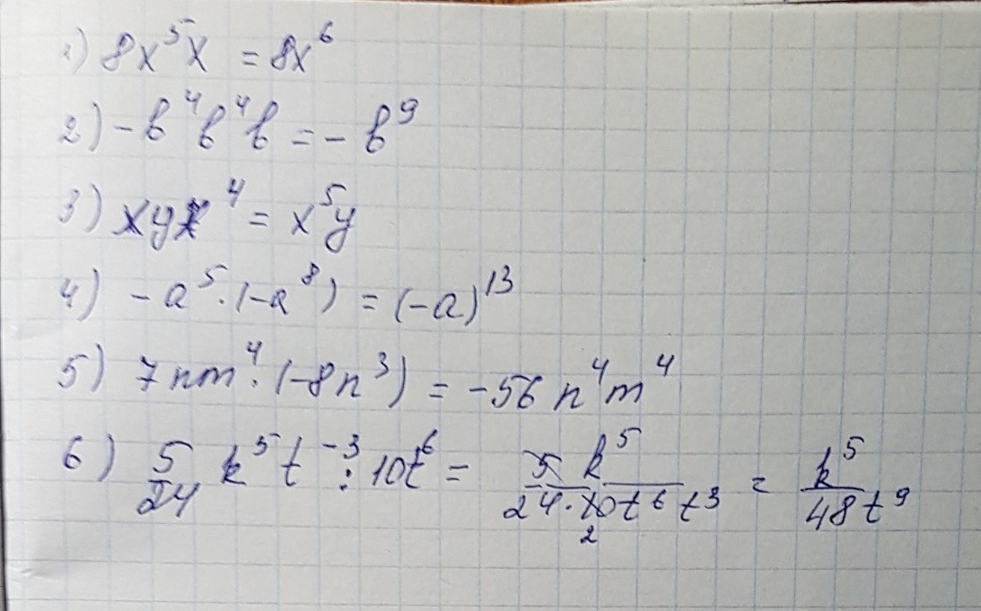
Запишите в стандартном виде одночлены 8х в 5 степени х 2) -b в 4 степени b в 4 степени b 3)хух в 4 степени 4) -а в 5 степени (-а в 8 степени) 5) 7 nm в 4 степени (-8n в 3 степени) 6) 524 k в 5 степени t (- 310 t в 6 степени) С РЕШЕНИЕМ!!!
Ответы
Ответ дал:
0
решение задания смотри на фотографии
Приложения:
Вас заинтересует
2 года назад
2 года назад
3 года назад
3 года назад
9 лет назад
9 лет назад
10 лет назад