• Предмет: Математика
  • Автор: OneProgram
  • Вопрос задан 8 лет назад

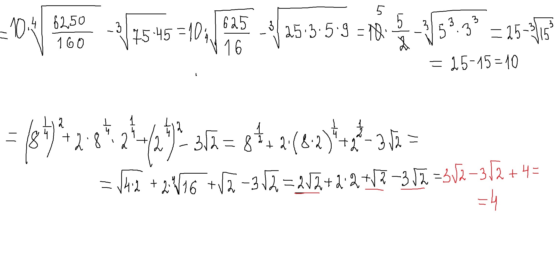
решить выражения, с подробным решением. 50 баллов

Приложения:

Ответы

Ответ дал: parus77
0

решение примеров смотри внизу.

Приложения:
Вас заинтересует