• Предмет: Алгебра
  • Автор: nika160418
  • Вопрос задан 8 лет назад

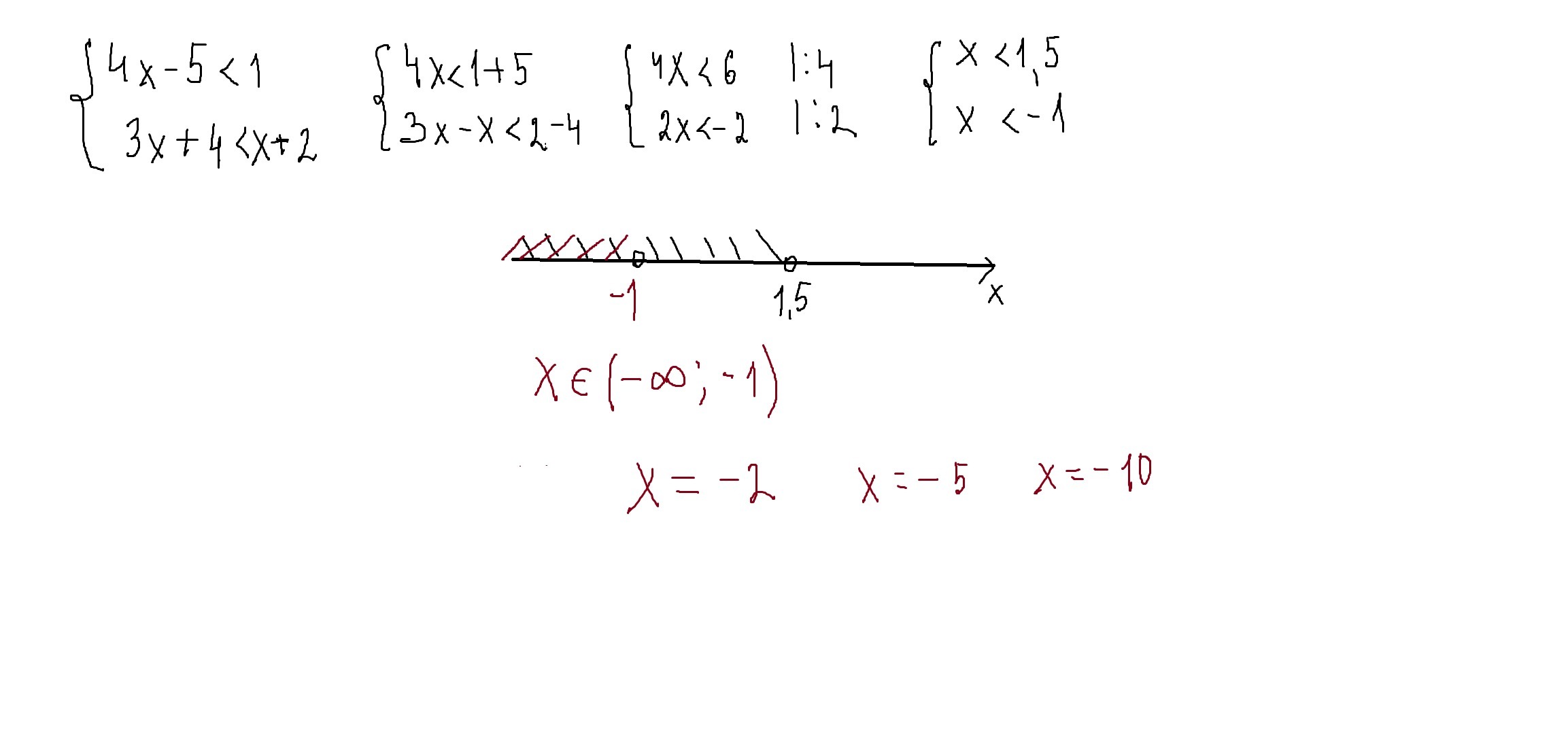
Решите систему неравенств изобразите изобразите множество ее решений на координатной прямой и Укажите любые три числа являющиеся решениями


Приложения:

Ответы

Ответ дал: parus77
0

можешь взять любые числа,которые меньше минус одного

Приложения:
Вас заинтересует