• Предмет: Физика
  • Автор: violettabenduk986
  • Вопрос задан 8 лет назад

Срочно!
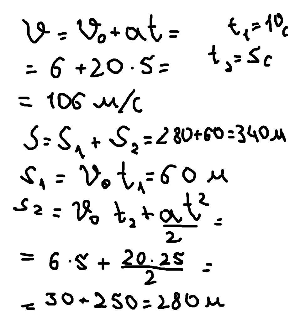
Тело движется равномерно со скоростью 6м/с в течение 10 секунд, после чего получает ускорение 20 м/с².Какую скорость будет иметь тело через 15 секунд от начала движения. Какой путь пойдет тело после начала движения?

Ответы

Ответ дал: mscoolness
0

Весь путь = 340 м

скорость через 15 секунд от начала движения = 106 м/с

Приложения:
Вас заинтересует