• Предмет: Математика
  • Автор: dimeit
  • Вопрос задан 8 лет назад

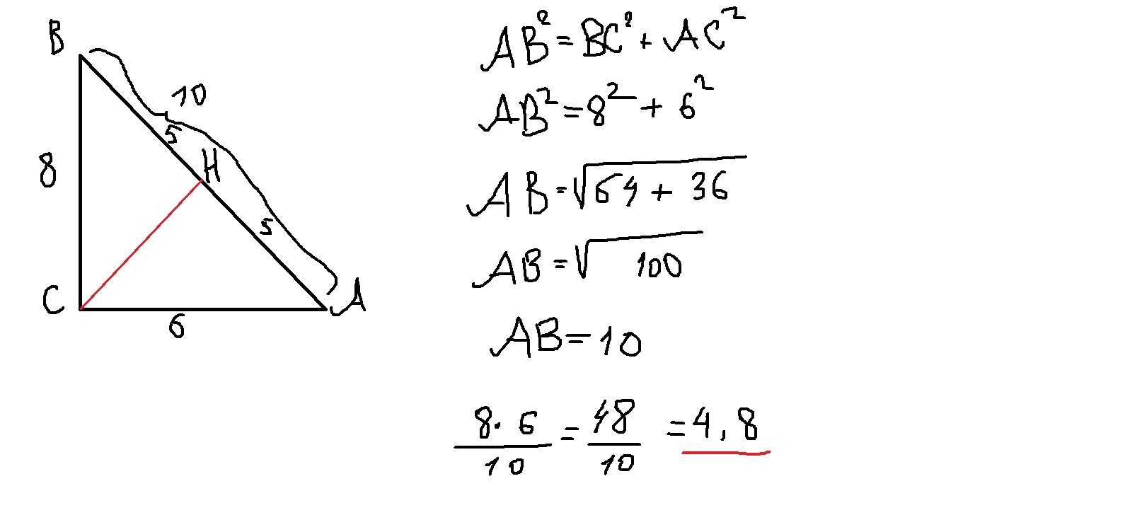
Катеты прямоугольного треугольника равны 6 и 8 см. Вычислите высоту , проведённую к гипотенузе

Ответы

Ответ дал: zhidelevairina13
0

Вот графическое решение

Приложения:
Вас заинтересует