• Предмет: Математика
  • Автор: Милашка4578
  • Вопрос задан 8 лет назад

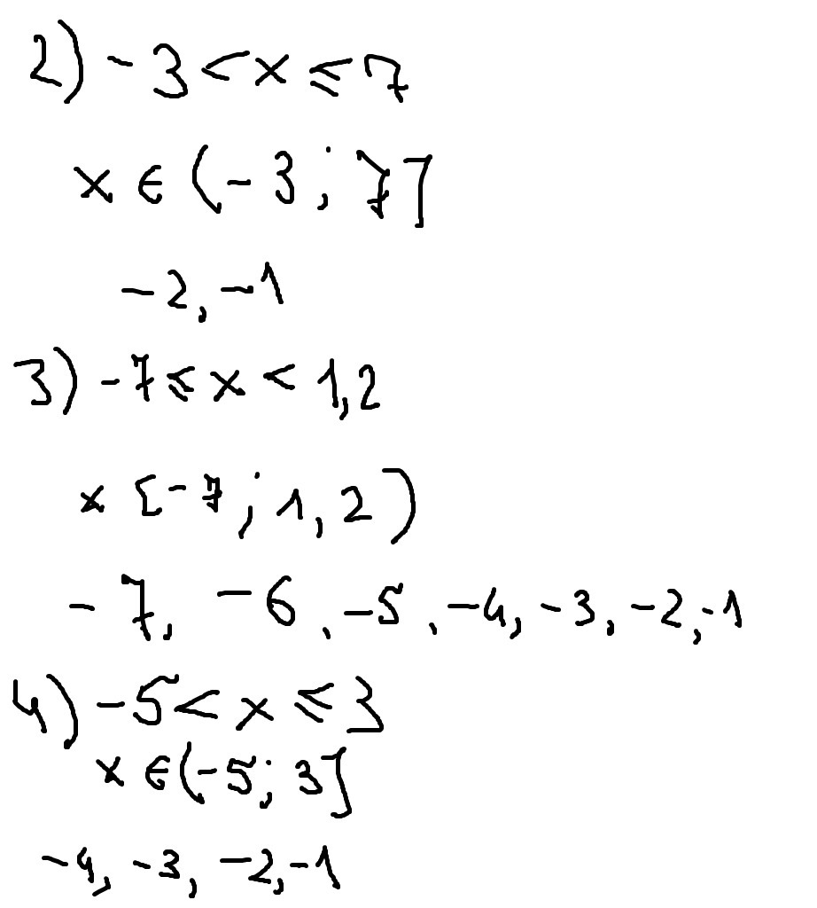
математика помогите пожалуйста разобраться

Приложения:

Ответы

Ответ дал: mscoolness
0

Скобки квадратные в первом, так как неравенство нестрогое

Приложения:
Ответ дал: Милашка4578
0
вообще не так
Ответ дал: mscoolness
0
конкретнее что не так? Может быть ход решения? Ответы я выписывала правильные исходя из условия задания
Вас заинтересует