• Предмет: Алгебра
  • Автор: kamikamila01
  • Вопрос задан 8 лет назад

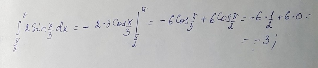
Вычислить определенный интеграл

Приложения:

Ответы

Ответ дал: 1233090
0
решение задания смотри на фотографии
Приложения:
Вас заинтересует