Ответы
Ответ дал:
0
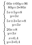
Пусть x - скорость первого мотоциклиста, тогда y - скорость второго.
Построим систему.
0,4 кмч- скорость первого
1,2 кмч - скорость второго
Ответ:0,4 кмч , 1,2 кмч
Приложения:

Вас заинтересует
2 года назад
3 года назад
3 года назад
9 лет назад
9 лет назад