• Предмет: Алгебра
  • Автор: alina78t
  • Вопрос задан 8 лет назад

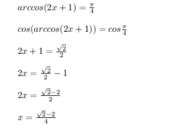
Решите пожалуйста уравнение arccos (2x+1)=п/4

Ответы

Ответ дал: NNNLLL54
0

arccos(2x+1)=frac{pi }{4}\\cos(arccos(2x+1))=cosfrac{pi}{4}\\2x+1=frac{sqrt2}{2}\\2x=frac{sqrt2}{2}-1\\2x=frac{sqrt2-2}{2}\\x=frac{sqrt2-2}{4}

Приложения:
Вас заинтересует