• Предмет: Физика
  • Автор: jenefalling
  • Вопрос задан 8 лет назад

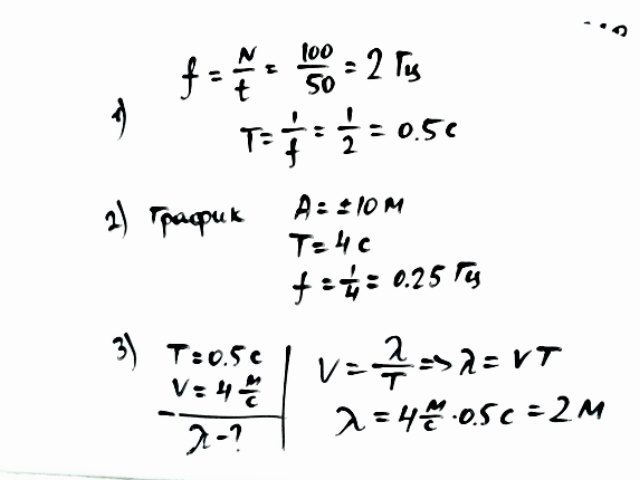
Помогите решить первый вариант, пожалуйста, кто разбирается в физике

Приложения:

Ответы

Ответ дал: elimofetoyp1j9
0

Помогите решить первый вариант, пожалуйста, кто разбирается в физике

Приложения:
Вас заинтересует