• Предмет: Алгебра
  • Автор: Nast9nka
  • Вопрос задан 8 лет назад

Ребята, выручайте! Без Вас никак!
Помогите разобраться в теме
Решите и подробно распишите!
Любую задачку, любое количество!
За отдельную благодарность можете Всё, хочу на ваших решениях понять тему и научиться решать эти тяжки задачи! Надеюсь на Вас!
Заранее огромное спасибо!
Помоги :)

Приложения:

Ответы

Ответ дал: Матов
0

Если подставить то получим неопределённость  вида 0/0 ,  можно воспользоваться  Правилом Лопиталя , то есть найти производную числителя и знаменателя отдельно   (sqrt(x^2+1)-2)’ =  x/sqrt(x^2+1) = sqrt(3)/2

(sqrt(x^2+6)-3)’ =  x/sqrt(x^2+6) = sqrt(3)/3 поделив 3/2

Ответ дал: NNNLLL54
0

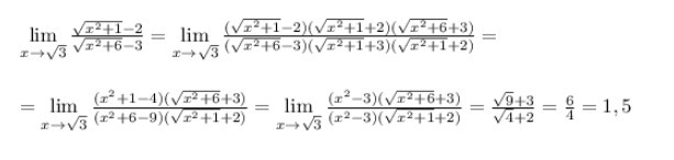
.................................................................................................................................................

Приложения:
Ответ дал: amin23f
0
Описка,под корнем в знаменателе должен быть +6,после первого "=".Там +1 написано.
Вас заинтересует